序号 规格 价格 促销活动 促销价 购买
5311100 100ml ¥650 - - 拨打客服电话
产品简介
RNAisol LS试剂是一种完整、即用型试剂,其经过优化以便从多种液体样品中分离高质量总RNA,或同时分离RNA、DNA和蛋白。苯酚和异硫氰酸胍的单相溶液设计用于在一小时内从人、动物、植物、酵母菌、细菌和病毒来源的液体样品中分离RNA、DNA和蛋白的单独组分。
产品特点
其配方可与液体样品配合使用,如血清或病毒制备液
便于从单份液体样品中回收RNA、DNA和蛋白
拥有出色的裂解能力,甚至可处理困难的生物液体
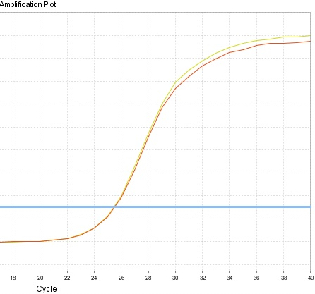
实验数据

用Simgen RNAisol LS试剂从250 μl HCV血清(5×105copies/ml)中提取的RNA作为模板检测HCV所获的扩增曲线(RT-PCR一步法,50 μl扩增体系中加5 μl纯化的RNA)